合作客戶/
拜耳公司 |
同濟大學 |
聯合大學 |
美國保潔 |
美國強生 |
瑞士羅氏 |
相關新聞Info
推薦新聞Info
-
> 不同溫度下純有機物液體表面張力估算方法及關聯方程(二)
> 不同溫度下純有機物液體表面張力估算方法及關聯方程(一)
> ?工藝因素對植物纖維活性發泡材料表面張力的影響
> 印刷掉墨現象:真空噴鋁轉移紙儲存時間與涂層表面張力、結合牢度關聯性研究(三)
> 印刷掉墨現象:真空噴鋁轉移紙儲存時間與涂層表面張力、結合牢度關聯性研究(二)
> 印刷掉墨現象:真空噴鋁轉移紙儲存時間與涂層表面張力、結合牢度關聯性研究(一)
> 煤體潤濕性與水溶液表面張力關系的實驗分析【下】
> 煤體潤濕性與水溶液表面張力關系的實驗分析【上】
> 基于粒徑、速度、表面張力、黏度測定揭示塵粒?霧滴碰撞行為規律(四)
> 基于粒徑、速度、表面張力、黏度測定揭示塵粒?霧滴碰撞行為規律(三)
神經元鈣傳感蛋白(NCS1)的膜結合性能研究【下】
來源:上海謂載 瀏覽 1981 次 發布時間:2022-07-06
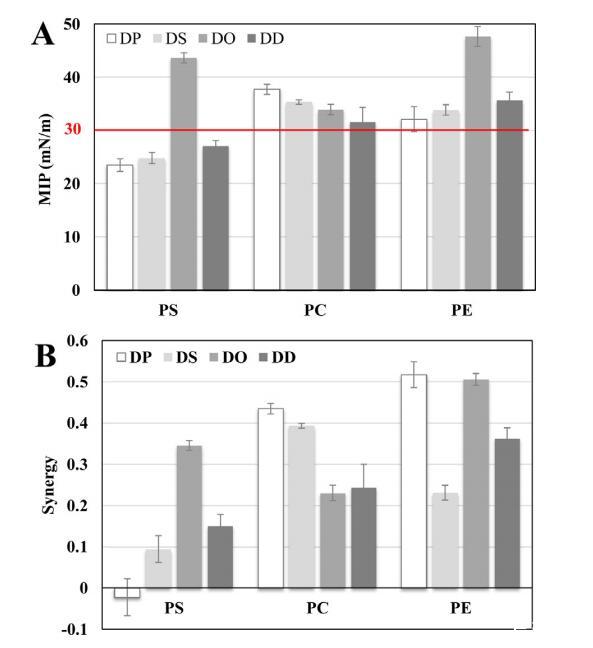
關于脂肪酰基鏈,除DPPE外,在存在不飽和脂質(DO和DD)的情況下觀察到的MIP值大于在三個極性頭基的飽和脂質(DP和DS)下觀察到的MIP值。不飽和脂質比飽和脂質更具流動性和動態性,mNCS1與這種構象的相互作用更好。事實上,DP和DS單分子膜中不存在不飽和現象會導致液體冷凝物理狀態,其中疏水性脂肪?;溄M織良好,極性頭基密集[53]。此外,在DOPS存在下觀察到的MIP值可以通過mNCS1對其不飽和脂肪?;湹母玫慕Y合相互作用來解釋,而不是PS的潛在排斥作用。同樣,在飽和磷脂存在下的協同值小于在不飽和磷脂存在下觀察到的協同值。事實上,在不飽和脂肪酰基鏈存在下觀察到的協同值在0.25±0.03和0.43±0.04之間。此外,在DDPC和DDPE存在下觀察到的協同值分別大于在DOPC和DOPE存在下觀察到的協同值。mNCS1似乎優先結合長的不飽和脂肪?;?。這些數據表明,mNCS1將優先結合由不飽和磷脂組成的生理膜結構域。然而,在DO脂肪酰基鏈存在的情況下觀察到的協同值與其他關于極性頭基的協同值不遵循相同的趨勢。事實上,PS脂質單層的協同值更大,PC和PE脂質單層的協同值降低。這一觀察結果可以用PO脂肪?;湹莫毺貥嬓蛠斫忉?。事實上,它們由一個順式雙鍵組成,該雙鍵導致剛性曲率[71],導致mNCS1以比PC和PE更大的協同作用與PS脂質單分子膜結合。
因此,如第2.3節所述,在不同i下存在摻雜單層的情況下,使用以下適用于Pitcher[50]表面壓力測量的拉伸指數方程對mNCS1進行了吸附動力學擬合。如表S2所示,摻雜單分子層中mNCS1的吸附速率從0.074s下降?1至0.003秒?1當初始表面壓力從5.0 mN/m增加到29.3 mN/m時。在這些條件下,速率系數隨著i值的增加而增加,正如之前用另一種蛋白質觀察到的那樣[72]。因此,在DOPE、DOPS和DPPE單分子膜存在的情況下,以近似相同的i值(約16 mN/m)計算了mNCS1的速率系數(表S3)。在摻雜單分子膜(0.069 s)存在下,速率系數更高?1)比用DOPS單分子膜觀察到的結果(0.030s?1)這高于用DPPE單分子膜觀察到的結果(0.002秒?1).這一觀察結果意味著,除了MIP和synergy的高值外,DOPE對蛋白質的吸附比DOPS或DPPE更快。
先前的數據表明,約5%的突觸體NCS1定位于Triton X-100提取后獲得的耐去污劑膜(DRM)[43]。然而,其余95%的定位尚未確定。mNCS1可能主要定位于由不飽和磷脂組成的膜結構域,尤其是那些含有PE極性頭基的膜結構域。
3.1.2.缺鈣對mNCS1膜結合的影響
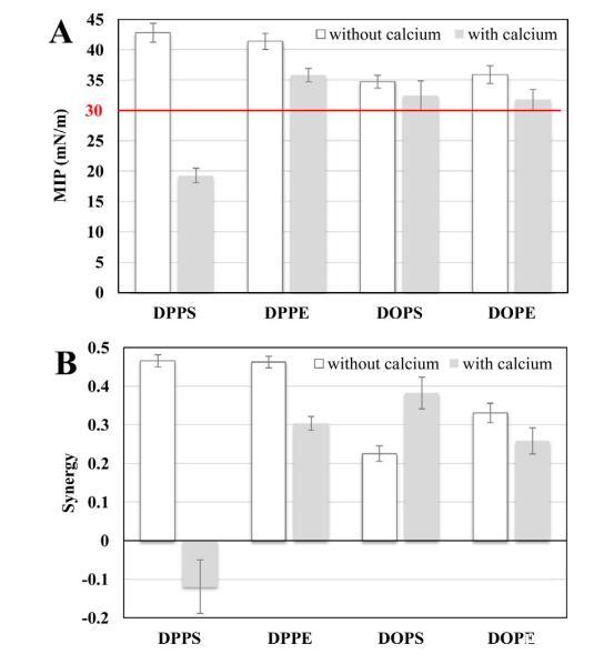
mNCS1與鈣的結合導致構象變化、C末端片段的擠出和大的疏水裂縫的暴露[23,24]。這些變化可能與mNCS1的膜結合有關。以前的數據表明,在有鈣和無鈣的情況下,NCS1與膜的結合不同[73]。事實上,鈣濃度的升高穩定了膜上mNCS1的補充部分。NCS1對鈣具有納摩爾親和力(90 nM)[44],因此在存在1 mM鈣時處于鈣結合構象。在乙二醇四乙酸(EGTA)存在下也進行了膜結合測量,EGTA是鈣離子的螯合劑。在EGTA存在下,mNCS1的EF-hand基序不能結合可能存在的鈣,蛋白質的構象改變為無鈣形式。因此,在四種不同磷脂(DPPS、DPPE、DOPS和DOPE)存在的情況下,評估了鈣和磷脂組成對mNCS1膜結合的影響。以下數據說明了在鈣存在下mNCS1的構象變化以及這種變化對其膜結合的影響。
圖5.在無鈣(白色)和有鈣(灰色)的情況下,mNCS1與DPPS、DPPE、DOPS和DOPE的MIP(A)和協同作用(B)值。MIP和synergy值的不確定性如第2.3節所述計算。
在沒有鈣的情況下,mNCS1采用無鈣構象,其結合膜的方式與存在鈣的情況不同。圖5比較了在存在和不存在鈣的情況下獲得的mNCS1的MIP和synergy值(數值見表S4)。當mNCS1不與鈣結合時,MIP值大于存在鈣的情況。事實上,在沒有鈣的情況下,所有MIP值都在30 mN/m以上,這表明當蛋白質與鈣結合時,該蛋白質能夠與任何膜蛋白結合。在沒有鈣的情況下,協同值也相當高,表明mNCS1和膜之間有很強的協同作用,無論其成分如何。DPPE、DOPS和DOPE單分子膜缺鈣對結合參數的影響很小,分別使MIP增加5.57、2.28和4.16 mN/m,協同效應分別增加0.16、0.00和0.07。無鈣構象似乎限制了mNCS1與PE脂質單層的膜結合。然而,在DPPS單層的存在下,MIP值增加了一倍多,從19.3 mN/m增加到42.8 mN/m。此外,在沒有鈣的情況下觀察到巨大的協同值增加。實際上,協同價值從?0.12至0.47,表明mNCS1的無鈣構象應隱藏其負電荷,并消除該單層與蛋白質之間的排斥作用(圖4)。mNCS1的負電荷殘基應埋在無鈣構象中,并暴露在鈣結合構象中,從而導致蛋白質排斥。在DOPS存在的情況下,協同值從0.38降低到無鈣的情況下的0.23。DO脂肪酰基鏈的獨特構型可以解釋這一數據。然而,在沒有鈣的情況下,MIP和協同值相當高,并且應允許mNCS1與由DOP組成的脂質結構域的膜結合。
先前的數據表明,鈣對兩種形式的蛋白質都有外在的穩定作用[74]。事實上,在沒有鈣的情況下,mNCS1和nmNCS1的穩定性顯著降低,但在有鈣的情況下,平衡轉變是完全可逆的。然而,這些研究是在沒有脂質單層的情況下進行的。在缺乏鈣和磷脂的情況下,NCS1的結構可能會不穩定,但在磷脂單分子膜的存在下,這種趨勢可能會逆轉。事實上,兩種形式的NCS1在沒有鈣的情況下的MIP值都更大,這表明在沒有鈣的情況下,蛋白質與膜強烈相互作用。這一觀察結果支持了這樣一個事實,即在沒有鈣的情況下,蛋白質與膜緊密結合,而在有鈣的情況下,構象變化減少了這種相互作用,這肯定有利于那些具有不同底物的蛋白質。
在沒有鈣的情況下進行的測量可以表征鈣和mNCS1構象的存在對其膜結合的影響。然而,為了確定最終的肉豆蔻酰鈣開關,對非肉豆蔻?;鞍譶mNCS1進行了相同的測量。
3.2.是否存在鈣-肉豆蔻酰開關?
3.2.1.肉豆蔻酰基在NCS1膜結合中的作用
NCS家族蛋白質的N-末端甘氨酸是酰化的[8-10]。這種?;赡茉谶@些蛋白質的生理功能中發揮重要作用。mNCS1的?;侨舛罐Ⅴ;?,是一個沒有雙鍵的14碳鏈。一些NCS蛋白質具有鈣-肉豆蔻基開關,這是一種動態機制,允許在鈣存在的情況下擠出肉豆蔻基。然而,如引言所述,NCS1的這種機制存在爭議。因此,使用不含肉豆蔻?;牡鞍踪|nmNCS1進行了結合膜測量,以表征不存在這種?;瘜ζ淠そY合的影響。
圖6比較了在有鈣和無鈣的情況下mNCS1和nmNCS1的MIP值(數值見表S5)。在鈣存在或不存在的情況下,用nmNCS1觀察到的MIP值與觀察到的四種磷脂的mNCS1的MIP值沒有顯著差異。因此,肉豆蔻?;拇嬖谒坪踉阝}存在下蛋白質的膜結合中不起關鍵作用。這些觀察結果表明,NCS1中不存在肉豆蔻酰鈣開關。事實上,另兩種非肉豆蔻?;腿舛罐Ⅴ;问降腘CS蛋白質VILIP-1和VILIP-3的MIP值之間的巨大差異突顯了這種機制的存在[35]。在鈣與DOPC/DOPS單層(3:1)的存在下觀察到了這些差異。在不同的磷脂單分子膜中觀察到recoverin(另一種NCS蛋白質)的MIP值存在差異,無論是否具有肉豆蔻?;饔?,這些磷脂單分子膜突出了這種蛋白質的肉豆蔻酰鈣開關(C.Salese,未發表的結果)。此外,肉豆蔻?;拇嬖谠黾恿薔CS1的鈣協同度[24]。事實上,mNCS1與鈣的結合比nmNCS1更強,3個鈣離子與mNCS1結合,而nmNCS1只有2個。然而,這種區別不會導致鈣存在時nmNCS1的不同膜結合。
圖6.nmNCS1(白色)和mNCS1(灰色)的MIP值,在不存在鈣(A)和存在鈣(B)的情況下,具有DPPS、DPPE、DOPS和DOPE。MIP值的不確定性如第2.3節所述計算。
還觀察到肉豆蔻酰化和非肉豆蔻?;疺ILIP-3之間的吸附動力學差異。然而,鈣存在下nmNCS1的吸附動力學與mNCS1的吸附動力學相似。事實上,在DOPE、DOPS和DPPE存在的情況下,計算了nmNCS1的速率系數(表S3)。如mNCS1所觀察到的,在摻雜單分子膜(0.069 s)存在時,速率系數更高?1)比用DOPS單分子膜觀察到的結果(0.061s?1)這高于用DPPE單分子膜觀察到的結果(0.003秒?1)對于nmNCS1。這一觀察結果表明,無論肉豆蔻酰化與否,DOPE對蛋白質的吸附都比DOPS或DPPE更快。肉豆蔻酰化基團的缺失不會顯著影響蛋白質對不同磷脂單分子膜的吸附速率。在鈣存在的情況下,mNCS1和nmNCS1的相似MIP值和速率系數表明,NCS1沒有鈣-肉豆蔻酰開關,正如幾位作者所提出的[29,37,38,41]。
當NCS蛋白質具有鈣-肉豆蔻酰開關時,肉豆蔻酰基團在膜結合中起關鍵作用[30-35,75-77]。然而,NCS1的肉豆蔻?;赡芫哂谐そY合之外的另一種作用。事實上,以前的研究表明,肉豆蔻?;鶊F可能在蛋白質的展開/復性中發揮結構作用[74]。這一功能在很大程度上取決于鈣,這可以解釋在有無鈣的情況下觀察到的差異。mNCS1和nmNCS1的相似MIP值表明,肉豆蔻?;粎⑴c鈣-肉豆蔻?;_關或膜結合,而是參與蛋白質的結構作用。因此,需要研究一種類似于N-末端片段的肽,以試圖解釋該片段的作用,該片段似乎不涉及鈣-肉豆蔻酰開關。
3.2.2.N-末端片段在鈣存在下NCS1膜結合中的作用
NCS1的N-末端片段參與蛋白質與磷脂酰肌醇4-激酶相互作用的功能[46]。然而,關于最終參與膜結合的信息尚未描述。因此,使用類似于NCS1 N末端片段的肽進行了膜結合測量。該肽由以下33個殘基組成:gksnsklkpevveeltrktyftekevqwykgf。由于脯氨酸的存在,該肽是肉豆蔻酰化的,由兩個螺旋和一個環組成(圖S1)。首先,已確定肽的飽和濃度為9g/mL。然后,在鈣存在的情況下,對之前研究的12種不同磷脂與整個蛋白質進行結合膜測量。
圖7.在鈣存在下,使用DPP、DSP、DOPS、DDPS、DPPC、DSPC、DOPC、DOPC、DDPC、DPPE、DSPE、DOPE、DOPE和DDPE的單層的N-末端肽的MIP(A)和協同作用(B)值。MIP和synergy值的不確定性如第2.3節所述計算。
圖7比較了有無鈣時mNCS1和nmNCS1的MIP值(數值見表S6)。在PC或PE脂質單分子膜存在下觀察到的所有MIP值均高于30 mN/m,表明肽可以優先結合由兩性極性頭基組成的磷脂。所有這些MIP值相似(31.6和37.7 mN/m之間,DOPE除外),并且沒有顯示出對特定脂肪?;湹拿鞔_偏好。在PS脂質單分子膜存在下觀察到的MIP值低于30 mN/m,但DOP除外,這可以由DO脂肪酰基鏈的獨特構象來解釋。此外,在存在DP、DS和DD脂肪酰基鏈的情況下,PE脂質單分子膜的協同值高于PC和PS脂質單分子膜的協同值。在DS脂肪?;湹那闆r下,用PE脂質單層觀察到的協同值低于用PC觀察到的協同值,但優于用PS觀察到的協同值。這些趨勢表明,N端肽參與了整個蛋白質與由PE脂質單層組成的磷脂的優先結合。此外,關于脂肪?;湥瑳]有明顯的趨勢。事實上,在不飽和磷脂與聚苯乙烯的存在下觀察到更高的協同值,而在聚碳酸酯中觀察到相反的趨勢。除DOPE外,在PE中觀察到的所有協同值都很高。因此,這些數據表明,除了其N末端片段外,蛋白質的其他結構域也參與了膜結合。此外,在DOPE、DOPS和DPPE存在的情況下,計算了N端肽的速率系數(表S3)。速率系數比完整蛋白質慢并且相對恒定(0.001 s?1,0.002秒?1和0.003秒?1分別為DOPE、DOPS和DPPE單層)。這一結果表明,NCS1的其他結構域參與了蛋白質與脂質單層的相互作用速度。
盡管用N-末端肽觀察到的趨勢不太明顯,但這些數據與用mNCS1觀察到的結果一致。因此,N末端片段可以像蛋白質的其他片段一樣與膜相互作用。為了更好地了解其參與mNCS1的膜結合,使用在線工具Heliquest分析了N-末端序列[78]。該工具可以預測兩親性肽的二級結構[79]。其算法檢測至少五個相鄰殘基的不間斷疏水表面的存在。如果存在這樣的面,則驗證面殘留物是否為極性。螺旋輪中N-末端肽的氨基酸序列的投影如圖8A所示。大多數帶電殘基(紅色為正,藍色為負)位于親水面上,并可能與膜的極性頭基團相互作用。此外,大多數疏水殘基(黃色)位于螺旋的另一面,并可能與脂肪酰基鏈相互作用。這個組織可以解釋在12個研究中觀察到的9個磷脂的MIP非常高的值。NCS1的N-末端片段似乎參與了NCS1膜結合。其疏水殘基與脂肪酰基鏈相互作用,而其親水殘基與極性頭基相互作用,如圖8B所示。這種參與應該解釋NCS1的N末端片段在膜結合中的重要性,從而解釋肉豆蔻基的微弱影響。
圖8.(A)使用在線工具Heliquest[78]建立的N-末端肽的螺旋輪表示法。顏色代碼如下:疏水殘基為黃色,絲氨酸和蘇氨酸為紫色,堿性殘基為藍色,酸性殘基為紅色,天冬酰胺和谷氨酰胺為粉紅色,脯氨酸為綠色,其他殘基為灰色。(B)在存在脂質單層的情況下N-末端肽的方向的圖示。使用與(A)相同的顏色代碼(為了解釋本圖例中對顏色的引用,讀者請參閱本文的web版本)。
4、結論
在mNCS1存在下進行的膜結合測量表明,由PE極性頭基和不飽和脂肪?;溄M成的磷脂具有更好的結合相互作用。這些數據說明了NCS1參與神經退行性疾病的原因。事實上,大多數神經干細胞蛋白參與了由鈣調節失調引起的神經退行性疾病[8,80-83]。NCS1在精神分裂癥[84]、雙相情感障礙[85]、帕金森病[86]和阿爾茨海默病[87]患者的前額葉皮層上調。在精神分裂癥[88,89]、阿爾茨海默病[90]和帕金森病[91,92]患者的大腦中觀察到多不飽和脂肪酸濃度下降。此外,發現較少的PE脂質單層有利于PS脂質單層。然而,PS極性頭基團帶負電,應會對NCS1的膜結合及其功能產生巨大影響。此外,由于鈣的存在而引起的構象變化顯著影響NCS1膜結合。事實上,在鈣存在的情況下,NCS1的膜結合較弱,這表明蛋白質發生了重組,以更好地與其底物相互作用。肉豆蔻酰基的存在對NCS1的膜結合影響很小,表明該蛋白質中缺乏鈣-肉豆蔻酰基開關機制。肉豆蔻?;赡茉贜CS1的折疊/去折疊中起到所需的結構作用。最后,N末端肽由兩個參與NCS1膜結合的兩親螺旋組成。這些結果證實了文獻中觀察到的一些數據,但尚未解釋。事實上,他們認為NCS1沒有鈣-肉豆蔻酰開關,正如幾位作者先前提出的[29,37,38]。NCS1首先出現在進化過程中[40],鈣-肉豆蔻酰開關可能只出現在NCS家族的新成員中。事實上,之前已經確定N-末端片段中的殘基阻止了肉豆蔻基擠出[29]。假設在進化過程中發生了突變,以允許某些NCS蛋白質中存在這種機制[29,93]。為了驗證這一假設,目前正在對NCS1突變體進行膜結合測量。
致謝
作者感謝Habib Horchani博士和Dre Alicia Montoni博士參與科學討論和校對。SL是加拿大自然科學與工程研究委員會(NSERC)本科生研究獎的獲得者。作者感謝NSERC和魁北克杜楚德基金會的資助。
附錄A.補充數據
與本文相關的補充數據可在以下網站的在線版本中找到:http://dx.doi.org/10.1016/j.colsurfb.2015.11.65





