合作客戶/
拜耳公司 |
同濟大學 |
聯合大學 |
美國保潔 |
美國強生 |
瑞士羅氏 |
相關新聞Info
-
> 基于表面張力等分析油酸鈉體系下磁化處理對赤鐵礦和石英浮選分離效果的影響
> 溫度和碳碳雙鍵數對脂肪酸酯表面張力的影響(二)
> 數值模擬不同活性水的表面張力構建噴霧降塵模型
> 耐高溫采油菌株ZY-1:碳源對發酵液表面張力的影響
> 誘導期測定法研究NaCl的添加對碳酸鋰固-液界面張力等成核動力學參數影響——過飽和度的計算
> 微流控器件結構對水/水微囊形成過程、界面張力的影響規律(一)
> 單層膜界面上亞微米顆粒表面張力阻力系數修正——膜的性質及實驗方法
> 應用熒光顯微鏡研究了蛋白質在氣-水界面的組裝——材料和方法
> 表面張力估算法測定29種常見低芳淺色礦物油的溶解度參數——實驗部分
> 接觸角遲滯時氣~液界面張力的溫度敏感性對液滴蒸發過程的影響——引言
推薦新聞Info
-
> 嵌段比例對溫敏聚合物表面張力的影響及臨界膠束濃度分析(三)
> 嵌段比例對溫敏聚合物表面張力的影響及臨界膠束濃度分析(二)
> 嵌段比例對溫敏聚合物表面張力的影響及臨界膠束濃度分析(一)
> 溫度和碳碳雙鍵數對脂肪酸酯表面張力的影響(二)
> 溫度和碳碳雙鍵數對脂肪酸酯表面張力的影響(一)
> 二甲亞砜與二甲苯異構體混合物的體積收縮與表面張力降低效應(二)
> 二甲亞砜與二甲苯異構體混合物的體積收縮與表面張力降低效應(一)
> 表面能與表面張力對凍干制劑中“小瓶霧化”現象的影響機制研究
> 新型懸滴實驗系統的研制與二甲基亞砜/甲醇混合物表面張力測量(二)
> 新型懸滴實驗系統的研制與二甲基亞砜/甲醇混合物表面張力測量(一)
單層膜界面上亞微米顆粒表面張力阻力系數修正——顆粒在單層膜上的阻力系數
來源: 實驗流體力學 瀏覽 816 次 發布時間:2025-04-22
2顆粒在單層膜上的阻力系數
在LE相表面均勻的膜上,均方位移MSD隨時間間隔Δt線性增長(圖4),阻力系數由愛因斯坦關系
求得,其中擴散系數
為圖4中直線斜率的1/2。在LE?TC共存相膜上,受電偶極子吸引力作用,表面帶負電的顆粒與TC區域邊緣粘連,在短時間間隔內,顆粒運動主要是隨TC區域做旋轉運動,表現為亞擴散;長時間間隔內,顆粒隨TC區域做平動,表現為線性擴散,但MSD明顯變小。本節將分別討論顆粒在LE相模與LE?TC共存相膜上的阻力系數。實驗未選取TC相膜作為研究對象,是因為TC區域嚴重擠壓,顆粒只位于TC區域的間隙中,以顯微鏡觀察,顆粒幾乎靜止不動,無研究意義。
圖4 200 nm顆粒在不同密度膜上均方位移MSD隨時間間隔的變化
2.1 LE相膜上顆粒的阻力系數
顆粒的水動力學阻力系數取決于顆粒在水相中的浸沒程度(圖5,以顆粒暴露在空氣中的高度d表示)。顆粒的平衡位置取決于重力、浮力及膜施加的表面張力。重力G為:
圖5顆粒在肺表面活性劑膜界面上的浸沒程度及顆粒所受表面張力拉力
為浸沒角。由式(3)和(4)可見,與都以的速率增長,在粒徑極小的情況下,遠小于,因此重力作用可忽略不計,顆粒于垂直方向上的受力可視為全部來自于表面張力,由此得到顆粒的平衡條件為,即=180°。由于顆粒粒徑極小,接觸角實驗測量難度極大,這里采用前人對大顆粒(幾十微米)接觸角的測量結果:
根據楊氏定理可得到不同表面張力/不同密度的膜對應的及顆粒暴露在空氣中的高度d,如表1所示。
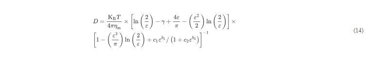
表1不同密度LE相膜上的顆粒與膜的接觸角θ、浸沒角?及顆粒暴露在氣相中的高度d為消除粒徑影響,下文將轉變為無量綱阻力系數為顆粒運動速度)求得。Stone解對于任意均適用。
圖6為不同密度LE相膜上顆粒無量綱阻力系數實驗值與理論值的對比。就理論值而言,Fischer理論值比Stone理論值稍大,因為Fischer理論考慮了Marangoni效應。但Fischer理論值仍明顯小于實驗值,其差值很可能來源于Boniello提出的分子熱運動引起的界面微小變形—熱力學毛細波對顆粒施加的表面張力,如圖7所示,圖中為變形界面與水平面夾角,通常約為1[25]。表面張力對顆粒阻力系數的貢獻需結合熱力學擾動耗散理論給出:
圖6不同密度LE相膜上顆粒無量綱阻力系數實驗值與理論值的對比
圖7微觀界面擾動對顆粒施加的瞬時表面張力示意圖
公式中,純水界面的表面張力為宏觀尺度準靜態條件下的測量值。對于被膜覆蓋的界面,膜的彎曲剛度、黏彈性可能會影響表面張力。此外,熱力學毛細波波長為單個分子尺寸約為幾納米,與亞微米顆粒在尺寸量級上更為接近,這個尺度下的表面張力大于宏觀尺度下的值,通常由熱力學毛細波振幅測得:
整體被看作膜的“等效表面張力”,q為傅里葉空間波數。Meunier[39]給出為膜在宏觀大尺度下測得的表面張力,
為膜的彎曲剛度(對于單層膜可忽略不計[40])。表面張力受膜黏彈性影響[29],
取決于毛細波角頻率與膜黏彈性松弛時間的比值,由Maxwell模型可得:
(13)
圖8擬合值與膜上DPPC磷脂分子平均間距的對比
2.2 LE–TC共存相膜上顆粒的阻力系數
在LE–TC共存相膜上,所有顆粒均與TC區域邊緣粘連,因此難以確定顆粒的等效粒徑,本節只對其擴散系數進行討論。首先,由實驗測量了無顆粒噴灑膜上TC區域的擴散系數(圖9(a)),由HPW模型擬合:
圖9 68?/molecule膜上TC區域及與TC區域粘連顆粒的擴散系數
均為常數,取自文獻。肺表面活性劑單層膜厚度為1 nm,由此可得膜的體黏度為0.77 Pa·s,是純水黏度的770倍。圖9(b)將與TC區域粘連的顆粒的擴散系數(以圓形表示)與單獨TC區域的擴散系數(以虛線表示)進行了對比,后者選取3.5μm為平均TC區域直徑(參照圖2照片),由HPW模型代入計算得出??梢钥闯?,在實驗統計誤差范圍內,二者近似相等,表明顆粒與TC區域形成的整體受力主要來自于TC區域。TC區域直徑遠大于顆粒直徑,膜內黏滯阻力更大;此外,膜的體黏度遠大于水相,因此水相對顆粒浸沒部分施加的黏滯阻力可忽略不計。
3結論
本文實驗研究了亞微米顆粒在單層生物膜(肺表面活性劑膜)界面上的阻力系數與擴散行為,測量結果顯示顆粒的運動需綜合考慮水動力學、界面熱力學擾動、膜的表面張力和非牛頓流體黏彈性等力學性質以及膜微觀結構等因素的影響,得出如下結論:
1)肺表面活性劑膜的力學特性伴隨著復雜的相變規律且與微觀結構相關,膜被初步壓縮時,表面壓強隨膜密度增大而增大,表面張力則與表面壓強變化趨勢相反,此時膜表面結構均勻,處于LE液態相;隨著膜被繼續壓縮,膜上開始出現局部的微米磷脂凝聚TC區域,與LE液態區域共存,此時為LE–TC共存相。在這個相態下,隨著膜密度增大,表面壓強保持恒定,僅TC區域在膜上的面積占比逐漸增大;當膜被進一步壓縮,膜上TC區域幾乎覆蓋了膜的表面,TC區域相互擠壓,膜表面壓強隨著密度增大陡然上升,此時的膜處于TC凝聚相。
2)在LE相表面結構均勻的膜上,顆粒阻力系數等于水動力學阻力系數與熱力學毛細波界面擾動表面張力阻力系數之和。其中,界面擾動表面張力需體現膜的黏彈性及微納尺度,因此加入了黏彈性項以及熱力學毛細波波數項。利用熱力學毛細波波長擬合實驗測量值發現,約等于膜內主要成分DPPC磷脂分子的平均間距,符合熱力學界面擾動的理論描述。
3)在LE–TC共存相膜上,顆粒均與TC區域邊緣粘連,其整體的受力基本全部來源于TC區域。TC區域膜接觸線周長較顆粒更大,且膜的體黏度遠大于水相黏度,導致無論是膜對顆粒施加的阻力還是水相對顆粒浸沒體積施加的阻力貢獻都極小。





