合作客戶/
拜耳公司 |
同濟大學 |
聯合大學 |
美國保潔 |
美國強生 |
瑞士羅氏 |
相關新聞Info
推薦新聞Info
-
> 表面張力和接觸角的關系|寶玉石接觸角的測量結果和表面張力計算方法(二)
> 表面張力和接觸角的關系|寶玉石接觸角的測量結果和表面張力計算方法(一)
> 表面張力儀系統測定:溫度范圍內甲基九氟丁醚的液相密度與表面張力
> 一套低溫、高壓懸滴法表面張力實驗測量系統實踐效果(三)
> 一套低溫、高壓懸滴法表面張力實驗測量系統實踐效果(二)
> 一套低溫、高壓懸滴法表面張力實驗測量系統實踐效果(一)
> 不同溫度下純有機物液體表面張力估算方法及關聯方程(二)
> 不同溫度下純有機物液體表面張力估算方法及關聯方程(一)
> ?工藝因素對植物纖維活性發泡材料表面張力的影響
> 印刷掉墨現象:真空噴鋁轉移紙儲存時間與涂層表面張力、結合牢度關聯性研究(三)
基于表面張力測試研究Gemini季銨鹽在氟磷灰石與石英界面的吸附行為
來源:礦產綜合利用 瀏覽 1099 次 發布時間:2024-09-18
硅質型磷礦的主要脈石是石英,常用的反浮選脫硅陽離子藥劑為脂肪胺類陽離子捕收劑,十二胺最為常用,但該類藥劑普遍存在泡沫發粘、溶解度較低、受pH值影響較大等問題。磷礦雙反浮選作業中,由于前段脫鎂作業需在酸性礦漿中完成,后段脫硅作業需在弱堿性條件下完成,需要添加大量堿性pH值調整劑,增加了磷礦選礦的成本及回水的利用難度。氟磷灰石與石英自然條件下在溶液中都是呈電負性,陽離子藥劑僅通過靜電吸附與石英作用,分選效率較低;而且氟磷灰石中離子成分組成較為復雜,浮選過程中影響因素較多,給氟磷灰石與石英的分離也帶來一定困難。因此開發高效的陽離子捕收劑是磷礦反浮選脫硅研究的一個重要課題。隨著環境問題的日益顯現,環保型新型藥劑的開發引起廣大研究者的重視,研究人員發現在Gemini季銨鹽捕收劑的結構中插入酯基官能團,不僅具有更高的表面活性,還使其具有較好的生物降解性。
本研究制備了一種分子結構中具有兩個酯基及兩個羥基的獨特結構的雙酯Gemini季銨鹽作為陽離子捕收劑,借助在浮選藥劑結構與性能研究方面,鐘宣提出的CMC判據與分子幾何大小判據,陳建華等提出的電負性判據,周國華提出的化學反應電子轉移數判據,以及近年來通過量子化學計算和分子動力學模擬所引出的前線軌道判據、電子密度判據、相互作用能判據等,通過藥劑的分子結構特點、表面物理化學性能以及量子化學參數等數據對藥劑的捕收能力、選擇性做出預測。本研究將自制的雙酯Gemini季銨鹽用于氟磷灰石與石英的單礦物浮選實驗,結合分子動力學模擬、接觸角測試等手段對雙酯Gemini季銨鹽在氟磷灰石與石英界面的吸附行為進行研究。
1.實驗
1.1實驗礦樣與藥劑
磷礦純礦物選自黃梅磷礦,化學滴定法測得P2O5含量為36.1%;石英純礦物購買自廣東河源正品粵石英砂廠,品位為99.4%。將純礦物分別采用三頭瑪瑙研磨儀研磨,選取粒徑范圍為-0.074+0.038 mm的純礦物樣品進行單礦物浮選。雙酯Gemini季銨鹽捕收劑為實驗室自制,pH值調節藥劑HCl、NaOH均為分析純,分別購買自天津市大茂化學試劑廠和天津市北聯精細化學品開發有限公司,實驗用水均為蒸餾水。
1.2表面張力測試
表面張力測試采用芬蘭Kibron公司全自動表面張力儀。采用鉑金板法在室溫(20±1)℃條件下用蒸餾水配制不同濃度的藥劑溶液,對十二胺鹽酸鹽(DDAH)與雙酯Gemini季銨鹽的表面張力進行測試。
2.結果與討論
2.1藥劑表面張力
圖1 DDAH與雙酯Gemini季銨鹽的γ-lgC
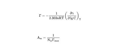
DDAH與雙酯Gemini季銨鹽的表面張力(γ)隨濃度對數(lgC)變化見圖1。根據浮選藥劑的CMC判據可知,浮選藥劑CMC的大小不僅可以用來預測藥劑的類別和作用,還可以用來衡量其疏水-親水性能。CMC越小,浮選藥劑的疏水性能就越強,捕收能力越強,反之,CMC越大,親水性越強。此外,表面活性劑溶液的各種物理化學性能如表面張力、潤濕性、電導度、透光度等在CMC值前后會出現明顯轉折,CMC值還可以預估藥劑的用量范圍。γ-lgC圖中曲線拐點處所對應的濃度即為藥劑的CMC值,可以看到雙酯Gemini季銨鹽的CMC比DDAH低1個數量級。由公式(1)、(2)分別對DDAH與雙酯Gemini季銨鹽的表面超量(Γmax)、吸附質分子橫截面積(Am)進行計算,計算結果見表1,數據對比可知,雙酯Gemini季銨鹽比DDAH具有更大的分子橫截面積。鐘宣在浮選藥劑分子幾何大小與選擇性判據中指出藥劑分子斷面大小主要取決于極性基的大小,并且藥劑極性基團斷面越大,選擇性越高。因此根據CMC判據、分子幾何大小判據,可以推斷雙酯Gemini季銨鹽比DDAH具有更強的捕收能力、疏水性以及更好的選擇性。
表1 DDAH與雙酯Gemini季銨鹽表面性能計算結果
2.2藥劑與礦物作用前后的接觸角
磷礦和石英分別與雙酯Gemini季銨鹽、DDAH作用的表面接觸角測定結果見圖2。當藥劑用量為0時,石英表面的親水性大于磷礦。與雙酯Gemini季銨鹽作用后,石英接觸角顯著增加,在0.01 mmol/L時較大(79.50°),隨后石英接觸角有略微減小,這是由于藥劑濃度過大后雙酯Gemini季銨鹽在石英表面發生反向吸附。DDAH在較低濃度時與石英作用后,石英表面接觸角增大的幅度較小,在較高的濃度時,石英表面接觸角增大明顯,疏水性得到較大提升。磷礦與雙酯Gemini季銨鹽或DDAH作用,其接觸角增加均并不明顯。說明陽離子捕收劑雙酯Gemini季銨鹽或DDAH更易與石英表面作用,且與DDAH相比,雙酯Gemini季銨鹽在較低濃度時即可使石英疏水性得到較大提升。
圖2雙酯Gemini季銨鹽、DDAH與石英和磷礦作用接觸角
3.結論
(1)自制雙酯Gemini季銨鹽具有更低的CMC值,更大的分子截面積,結合CMC判據與分子幾何大小判據可以推斷雙酯Gemini季銨鹽具有更強的捕收能力和更好的選擇性。
(2)自制雙酯Gemini季銨鹽對石英的浮選上浮率遠大于氟磷灰石,對石英具有較強的捕收能力。與DDAH相比,自制的雙酯Gemini季銨鹽具有更廣泛的pH值適應性。
(3)相比磷灰石,自制雙酯Gemini季銨鹽與石英吸附作用更大,更易與石英吸附作用,且可以顯著提高石英表面的疏水性。





