合作客戶/
拜耳公司 |
同濟大學 |
聯合大學 |
美國保潔 |
美國強生 |
瑞士羅氏 |
相關新聞Info
推薦新聞Info
-
> 溫度和碳碳雙鍵數對脂肪酸酯表面張力的影響(二)
> 溫度和碳碳雙鍵數對脂肪酸酯表面張力的影響(一)
> 二甲亞砜與二甲苯異構體混合物的體積收縮與表面張力降低效應(二)
> 二甲亞砜與二甲苯異構體混合物的體積收縮與表面張力降低效應(一)
> 表面能與表面張力對凍干制劑中“小瓶霧化”現象的影響機制研究
> 新型懸滴實驗系統的研制與二甲基亞砜/甲醇混合物表面張力測量(二)
> 新型懸滴實驗系統的研制與二甲基亞砜/甲醇混合物表面張力測量(一)
> 噻噸酮光敏劑體系:光電轉換與顯色特性的深度解析
> 溫度、締合強度、截斷半徑對球形空腔中締合流體界面張力的影響(二)
> 溫度、締合強度、截斷半徑對球形空腔中締合流體界面張力的影響(一)
表面張力變化對含氣泡液體射流破裂的影響
來源:化工學報 瀏覽 2338 次 發布時間:2022-10-11
表面張力變化對含氣泡液體射流破裂的影響
吳兆偉 施浙杭 趙輝 周騖 蔡小舒 劉海峰
摘要
使用高速相機研究了表面張力變化對含氣泡液體射流破裂過程的影響。通過改變表面活性劑濃度獲得了不同表面張力的液體射流。實驗發現當液體射流速度保持不變時,減小液體表面張力會增加射流破裂長度。表面活性劑一方面降低了液體動態表面張力,減小了射流表面不穩定波的增長率,增大了射流破裂長度;另一方面表面活性劑在射流表面的非均勻分布會產生Marangoni應力,促使液體向射流變形區運動,從而推遲了射流破裂的發生,增大了射流破裂長度。通過理論分析得到了液體射流破裂長度表達式。發現射流內部氣泡會顯著縮短含表面活性劑射流的破裂長度。通過氣泡擾動射流速度和吸附表面活性劑的分析,揭示了內部氣泡對含表面活性劑射流破裂的影響規律。
引言
液體射流常見于日常生活以及工業生產領域,如化工生產、航空航天及交通運輸等[1-3]。在煤化工中,多噴嘴對置式水煤漿氣化技術由于其易于大型化以及先進的工藝指標等特點得到了廣泛的應用[4]。在多噴嘴對置式水煤漿氣化技術中,混合含表面活性劑廢水的水煤漿噴射進入氣化爐,在環隙氣流的作用下發生破裂并霧化形成大量小液滴。液體射流破裂過程是液體霧化的基礎,研究含表面活性劑射流的破裂過程具有重要意義[5-7]。
自Rayleigh[8]和Weber[9]使用線性不穩定分析理論研究液體射流破裂過程以來,關于液體射流的研究層出不窮[10-13]。液體射流破裂過程不僅受射流速度和液體黏度的影響,還受射流液體表面張力的影響[14-17]。Reitz[18]發現,在射流破裂Rayleigh模式下,牛頓流體射流不穩定波的最大增長率可以表示為表面張力的函數,提高液體表面張力可以促進射流破裂的發生。Chang等[19]研究了冪律流體射流不穩定性問題,發現在Rayleigh模式下,表面張力會促進液體射流的破裂,而液體黏度則會阻礙射流的破裂。Martínez-Calvo等[20]使用數值分析方法研究了表面吸附有不可溶表面活性劑的液絲的破裂過程,得到了不同工況下衛星液滴體積的表達式。Hameed等[21]發現不可溶表面活性劑的存在能夠延緩液絲的破裂。Timmermans等[22]研究了表面吸附有不可溶表面活性劑的液絲的穩定性并指出表面活性劑主要通過改變液絲毛細壓力以及液絲表面剪切應力影響液絲的穩定性。如何獲得適合的射流破裂長度一直是射流破裂研究的熱點。Lad等[23]發現可以通過對液體射流施加額外的擾動實現更小的射流破裂長度。Wu等[24]發現在液體射流內部注入氣泡能夠顯著縮短射流破裂長度。關于射流內部氣泡對含表面活性劑射流破裂過程影響的研究則少見報道。
前人在研究液體性質對射流破裂過程的影響時,多采用Ohnesorge數Oh和Weber數We等以描述黏度相對表面張力的大小或氣動力相對表面張力的大小。較少的實驗研究單獨關注液體表面張力對射流破裂過程的影響。這是由于當采用不同表面張力的流體作為實驗流體時,往往流體的其他性質,例如黏度或密度也會不同。表面活性劑是一類只要少量加入即能顯著改變液體表面張力的物質。這提供了一個極好的獨立考察表面張力影響液體射流破裂過程的視角。前人關于表面活性劑對液體射流或液絲破裂的研究多數基于數值模擬或理論推導,關于含表面活性劑射流或液絲破裂過程的實驗研究較少[20,25-26]。本文采用十二烷基苯磺酸鈉(SDBS)作為表面活性劑,研究了表面張力變化對液體射流破裂過程及射流內部氣泡對射流破裂長度的影響。對不同表面張力液體射流的破裂過程展開研究有利于加深對射流破裂過程的理解,為含表面活性劑射流以及含氣泡射流的工業應用提供理論指導。
1、實驗流程與介質
實驗流程如圖1所示。來自注射泵的氣體通過充氣通道進入噴嘴并在噴嘴內形成氣泡,并與來自液體流量計的液體相混合形成氣液混合物。該氣液混合物離開噴嘴后,在不穩定波的作用下發生破裂,使用高速相機記錄這一過程,并使用開源軟件ImageJ分析處理得到的圖片。實驗通過控制注入噴嘴的氣體流量從而得到不同液體射流速度下直徑近似相等的氣泡。實驗使用的噴嘴如圖2所示。其中,噴嘴內徑d 0=2.96 mm,充氣通道外徑d 1=0.50 mm。
圖1實驗流程Fig.1Sketch of experimental setup
圖2實驗噴嘴Fig.2Sketch of nozzle
實驗采用的表面活性劑為十二烷基苯磺酸鈉(SDBS),是一種陰離子型表面活性劑。在水中加入SDBS會顯著減小水的表面張力。當SDBS濃度較小時,水中的十二烷基苯磺酸鈉呈分子狀態分散在溶液中。提高SDBS濃度至一定值時,溶液內部的SDBS分子會結合成較大的基團,形成膠束。表面活性劑在水中形成膠束所需的最低濃度稱為臨界膠束濃度,即CMC。Zhao等[27]實驗表明SDBS所對應的CMC,使用質量分數c表示時,c≈1.00×10-3。
由于表面活性劑溶液的性質在CMC附近會發生突變,因此實驗分別配制了六種不同濃度的表面活性劑溶液。當含表面活性劑射流離開射流噴嘴后,射流表面與環境氣體接觸,形成氣液界面。此時界面處不存在表面活性劑,溶液表面張力表現為純水的表面張力。溶液內部與氣液界面處存在表面活性劑濃度梯度。在這一濃度梯度的作用下,溶解在液體中的表面活性劑分子自發地從溶液內部向射流表面擴散并分布在氣液界面上,從而導致溶液表面張力的持續減小。當氣液界面對表面活性劑分子的吸附達到動態平衡或氣液界面處完全布滿表面活性劑分子時,氣液界面處的表面張力達到穩定值。因此,獲得SDBS溶液在不同時刻下的表面張力,即溶液的動態表面張力,是十分必要的。
實驗使用SITA t100型動態表面張力儀(SITA Messtechnik GmbH,Germany)測量了不同濃度下SDBS溶液的動態表面張力,測量結果如圖3所示。該表面張力儀使用氣泡壓力法測量溶液的動態表面張力。從圖3中可以看出,隨著氣泡壽命的增加,動態表面張力逐漸減小并最終趨于穩定。這表明在表面活性劑濃度梯度的作用下,SDBS分子逐漸從溶液內部向氣液界面擴散,液體動態表面張力逐漸減小。當氣泡壽命達到某一值時,氣液界面對表面活性劑分子的吸附達到動態平衡,氣液界面處的表面張力取得穩定值,繼續增大氣泡壽命并不會導致動態表面張力的進一步減小。
圖3不同濃度表面活性劑溶液的動態表面張力Fig.3Dynamic surface tension at various surfactant concentrations
Rosen等[28]根據表面活性劑溶液動態表面張力隨時間變化的不同趨勢將動態表面張力的時間演變劃分為四個區域,分別為誘導區、快速下降區、介平衡區和平衡區。他們發現前三個區域的動態表面張力隨時間的演變規律可以采用式(1)表示:
(1)
式中,σ0為表面活性劑濃度為零時表面張力,即水的表面張力,mN/m;σt為t時刻溶液的表面張力,mN/m;σm為介平衡區溶液的表面張力,一般取動態表面張力變化較小時的溶液表面張力[29],mN/m;n,t*為修正系數。對式(1)兩側取對數,有:
(2)
(3)
此時,lg S為lg t的一次函數,通過擬合實驗數據可以得到直線的斜率n與截距-n lg t*。
圖4展示了不同SDBS濃度下lg S隨lg t的變化規律,圖中實線對應各濃度下動態表面張力的擬合曲線,此時圖中時間t的單位為ms。從圖中可以看出,擬合結果與實驗數據吻合較好,擬合曲線能夠較好地表征動態表面張力的時間演變趨勢。擬合得到的系數見表1。
圖4不同濃度表面活性劑溶液的lgS-lgt曲線圖Fig.4lgS-lgtcurves of various aqueous
(surfactant solutions)
表1動態表面張力擬合參數Table 1 Fitting parameters of dynamic surface tension
2、實驗結果與討論
2.1、表面張力變化對射流破裂特征的影響
本文首先研究了不含氣泡的表面活性劑射流破裂過程以探究表面張力變化對射流破裂特征的影響。實驗使用高速相機記錄了六種不同濃度表面活性劑溶液的射流破裂過程。實驗獲得的射流破裂過程如圖5所示,其中Δt是相鄰兩張圖片間的時間間隔。從圖5中可以看出,雖然表面活性劑濃度并不相同,但射流的破裂過程在形態上是相似的。當液體射流離開噴嘴后,射流表面擾動迅速增長,表面波動在射流表面呈對稱分布,這是射流破裂Rayleigh區的典型特征。隨著表面波動的進一步發展,在射流方向上,射流表面形成瘤狀結構,射流破裂發生在兩個瘤狀結構之間。
圖5含表面活性劑射流的破裂過程Fig.5Breakup processes of various surfactant-laden jets
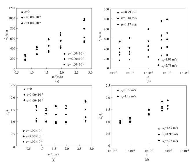
為了定量表征表面張力變化對射流破裂過程的影響,實驗測量了含表面活性劑射流的射流破裂長度。射流破裂長度定義為噴嘴出口至射流首次發生破裂處的距離。圖6是含表面活性劑射流破裂長度隨射流速度u l的變化趨勢,其中L s(mm)表示含表面活性劑射流的射流破裂長度,L l(mm)為水的射流破裂長度。從圖6(a)中可以看出,當表面活性劑濃度保持不變時,提高液體射流速度會增大射流破裂長度。從圖6(b)中可以看出,當液體射流速度保持不變時,隨著表面活性劑濃度的增大,射流破裂長度總體上呈現逐漸增大的趨勢;射流速度越大,射流破裂長度增大的趨勢就越明顯。使用相同工況下水的射流破裂長度無量綱化含表面活性劑射流的破裂長度后,可以得到射流破裂長度比隨射流速度以及表面活性劑濃度的變化趨勢,如圖6(c)、(d)所示。從圖中可以看出,表面活性劑的加入顯著增大了射流破裂長度比。在表面活性劑濃度不變時,提高液體射流速度對射流破裂長度比的影響并不顯著。在射流速度保持不變時,提高表面活性劑濃度會導致射流破裂長度比的增大。
圖6含表面活性劑射流破裂長度Fig.6Breakup lengths of various surfactant-laden jets
在氣液界面處,表面活性劑分子的親水基團指向水溶液,親油基團指向周圍氣體。在氣液界面處表面活性劑的表面吸附量越大,溶液的表面張力越小。當液體射流離開噴嘴后,氣液界面開始形成。溶解在液體射流內部的表面活性劑分子在濃度梯度的作用下向射流表面擴散并吸附在射流表面。隨著射流的進行,射流氣液界面表面活性劑的表面吸附量逐漸增大,射流表面張力逐漸減小。因此,與表面張力為定值的液體射流不同,處理含表面活性劑射流的破裂過程時,液體動態表面張力必須被考慮。
液體射流離開噴嘴到發生破裂所需時間可以定義為射流破裂時間t b,忽略重力作用時,其可以表示為:
(4)
不同濃度表面活性劑溶液的射流破裂時間如圖7所示。
圖7含表面活性劑射流的射流破裂時間Fig.7Breakup time of various surfactant-laden jets
從圖7(a)中可以看出,當表面活性劑濃度保持不變時,射流破裂時間幾乎不隨射流速度的改變而改變。在射流速度保持不變時,隨著表面活性劑濃度的增大,射流破裂時間呈現逐漸增長的趨勢。在實驗參數范圍內,射流破裂時間均小于0.4 s。考慮重力對液體射流的加速作用,液體射流實際破裂時間要小于0.4 s。
對比圖3中表面活性劑溶液氣泡壽命與圖7中射流破裂時間可以發現,在時間小于0.4 s時,動態表面張力尚未發展至平衡區,動態表面張力隨著時間的增長逐漸減小。當表面活性劑濃度c<0.1%時,在射流破裂時間內,溶液動態表面張力緩慢減小,且與純水的表面張力幾乎相等。當表面活性劑濃度c≥0.1%時,在射流破裂時間內,動態表面張力呈現先迅速減小而后緩慢降低的趨勢。
當含表面活性劑射流離開噴嘴后,其表面會形成不穩定波。射流表面不穩定波隨著射流的前進不斷發展并最終導致了液體射流的破裂。從圖5中可以看出,實驗工況下,射流表面波動為正對稱波;從圖6中可以看出,射流破裂長度隨著液體射流速度的增大而增大。因此,可以認為在實驗工況下,含表面活性劑射流處于Rayleigh模式。在此射流破裂模式下,射流表面最不穩定波的增長率可以表示為[18]:
(5)
射流表面波振幅的時間演變規律可以表示為[9]:
(6)
式中,η和η0分別為射流表面波動振幅和初始振幅,m。假設表面波振幅發展至射流半徑時,射流發生破裂。因此,射流破裂長度可以表示為[9]:
(7)
在含表面活性劑射流中,表面活性劑濃度較低,對除液體表面張力以外的其他液體性質影響較小。因此,當射流剛離開射流噴嘴,新的氣液界面開始形成時,射流表面初始擾動振幅與水的射流初始振幅相同,即≈10.14[24]。
當液體射流其他性質保持不變時,減小液體表面張力會導致射流表面最不穩定波增長率的減小。當液體射流內部含有表面活性劑時,液體射流表面張力隨著時間的增長逐漸減小,射流表面最不穩定波的增長率逐漸減小[30-32],表面波振幅發展至射流半徑所耗費時間大于同工況下水的射流所耗費時間,射流破裂長度大于同工況下水的射流破裂長度。當表面活性劑濃度c<0.1%時,在射流破裂時間內,溶液動態表面張力與水的表面張力幾乎相等,因此含表面活性劑射流的破裂長度與水的射流破裂長度幾乎相等。當表面活性劑濃度c≥0.1%時,在射流破裂時間內,動態表面張力顯著小于水的表面張力。在相同時刻,動態表面張力隨著表面活性劑濃度的增大而減小。因此,含表面活性劑射流破裂長度大于水的射流破裂長度,且隨著表面活性劑濃度的增大,射流破裂長度逐漸增大。
在實驗工況范圍內,含表面活性劑射流的動態表面張力隨著時間的推移不斷減小。為了定量表征表面活性劑對射流破裂的影響,使用t=0與t=t b時刻動態表面張力的平均值作為射流平均表面張力:
(8)
式中,、分別為t=0與t=t b時刻的動態表面張力,mN/m。在t=0時刻,射流開始離開噴嘴,氣液界面開始形成,氣液界面尚未吸附表面活性劑分子。因此,采用表面活性劑濃度c=0時的液體表面張力作為此時的動態表面張力。
因此,射流表面最不穩定波的平均增長率為:
(9)
從式(2)~式(9)可以看出,隨著表面活性劑濃度的增大以及時間的推移,動態表面張力逐漸減小,射流表面平均表面張力逐漸減小,因而導致射流表面最不穩定波平均增長率降低,射流破裂長度逐漸增大。這與實驗觀察到的射流破裂長度變化趨勢一致。
射流表面的表面活性劑分子不僅會減小射流表面最不穩定波的增長率,其在射流表面的不均勻分布還會引發Marangoni效應,從而影響射流破裂過程[22,32-33]。
如圖5所示,隨著射流的發展,處于兩個瘤狀結構中間的液體被不斷拉伸,其表面積逐漸增大,從而導致表面活性劑表面吸附量的減小。同時,由于射流內部與射流表面存在表面活性劑濃度梯度,在這一濃度梯度的作用下,表面活性劑分子從溶液內部向射流表面擴散,從而導致表面活性劑表面吸附量增大。在射流破裂時間內,不同濃度表面活性劑溶液的動態表面張力均未達到平衡區,表面活性劑尚在從射流內部向射流表面擴散。
Peclet數Pe常被用于表征對流速率與擴散速率的相對大小,本文使用Peclet數表征液體拉伸導致的表面活性劑表面吸附量減小趨勢與擴散導致的表面活性劑表面吸附量增大趨勢的相對強弱:
(10)
式中,L c為特征長度,m;u l為液體射流速度,m/s,u l~1;D s為質量擴散系數,m 2/s,溶液的擴散系數D s~10-9。本文使用最不穩定波的半波長λ/2作為特征長度L c。Rayleigh[8]指出,促使液體射流發生破裂的最不穩定波的波長滿足:
(11)
聯合式(10)和式(11)可以得到Pe>>1。因此,液體拉伸所導致的表面活性劑表面吸附量減小作用占據主導地位。隨著液柱的拉伸,表面活性劑的表面吸附量逐漸減小。
在毛細壓力的作用下,射流液柱直徑逐漸減小并最終導致了射流的破裂。在接近射流破裂處,毛細壓力驅動流體向破裂點兩側運動,破裂點附近表面活性劑的表面吸附量接近零,表面張力接近水的表面張力[22]。在瘤狀結構處,表面活性劑的表面吸附量最大,表面張力最小。因此,射流表面存在自表面波波谷指向波峰的表面張力梯度,從而產生Marangoni效應。在Marangoni應力的作用下,液體自低表面張力的波峰向高表面張力的波谷運動,從而導致了液體射流破裂的延遲和射流破裂長度的增大。
Marangoni應力τM可以表示為:
(12)
在射流破裂過程中促使射流直徑收縮的毛細壓力pσ可以表示為:
(13)
因此,定義Marangoni應力與毛細壓力的比值Z以表征Marangoni效應對射流破裂的阻礙作用:
(14)
由于射流破裂發生在Rayleigh區,聯合式(11)并簡化可以得到:
(15)
因此,綜合考慮表面張力變化對射流表面最不穩定波增長率的影響以及Marangoni效應,液體射流破裂長度可以表示為:
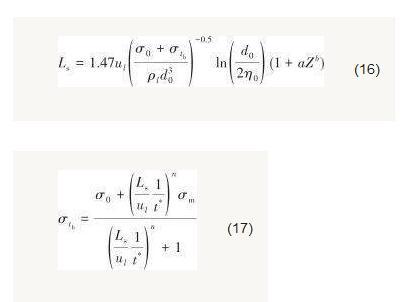
(16)
(17)
式中,a和b為關于Marangoni效應的修正系數。
通過擬合實驗數據得到a=1.91,b=1.58。不同濃度表面活性劑射流的射流破裂長度擬合曲線如圖8所示。從圖8中可以看出,擬合結果和實驗數據吻合較好。擬合曲線能夠較好地描述不同表面張力下射流破裂長度隨射流速度的變化趨勢。圖9是擬合公式計算值與實驗測量值之間的比較。從圖中可以看出,理論預測值與實驗測量值吻合較好。
圖8含表面活性劑射流的破裂長度(圖中實線為對應的不同濃度表面活性劑射流的擬合曲線)Fig.8Breakup lengths of various surfactant-laden jets(solid lines correspond to fitting curves)
圖9射流破裂長度實驗測量值與擬合計算值的比較Fig.9Comparison between experimental results and calculated results
2.2、表面張力變化對含氣泡射流破裂特征的影響
圖10展示了三種不同濃度表面活性劑射流在內部氣泡作用下發生破裂的過程。從圖10中可以看出,不同濃度表面活性劑溶液射流受內部氣泡影響發生破裂的過程是相似的。隨著射流的發展,表面波振幅逐漸增大并最終導致了液體射流的破裂。射流破裂發生在氣泡附近。雖然不同濃度表面活性劑射流的破裂過程在形態上是相似的,但射流破裂長度并不相同。內部氣泡對射流破裂長度存在影響。實驗測量了含氣泡的表面活性劑射流破裂長度L sb以定量表征射流內部氣泡對含表面活性劑射流破裂過程的影響。射流內氣泡尺寸的測量見文獻[24]。
圖10含氣泡表面活性劑溶液射流破裂過程Fig.10Breakup process of surfactant-laden jet with inner bubbles
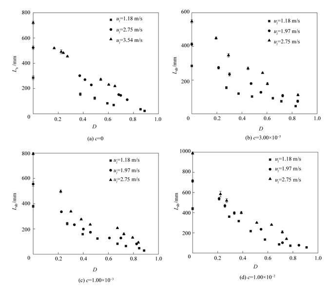
圖11是不同濃度表面活性劑射流破裂長度L sb隨氣泡無量綱直徑D=d b/d 0(d b為氣泡直徑)的變化。從圖中可以看出,不同表面活性劑濃度下,射流破裂長度隨氣泡無量綱直徑D的變化趨勢是相似的。射流破裂長度隨著氣泡直徑的增大逐漸減小;當氣泡直徑相同時,提高液體射流速度會導致更大的射流破裂長度。
圖11內部氣泡直徑對含表面活性劑射流破裂長度的影響Fig.11Surfactant-laden jet breakup length versusbubble diameter
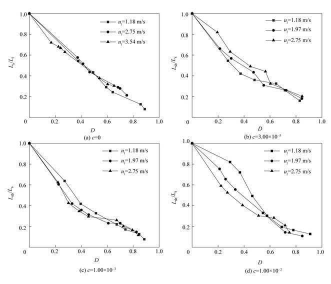
實驗還研究了含氣泡射流破裂長度比隨氣泡直徑的變化趨勢,如圖12所示。射流破裂長度比定義為含氣泡射流破裂長度對同工況下不含氣泡射流破裂長度的比值。從圖12可以看出,隨著氣泡直徑的增大,破裂長度比逐漸減小,這一趨勢在不同表面活性劑濃度和液體射流速度下均可被觀察到。這是因為氣泡的引入導致了液體射流速度的波動從而縮短了射流破裂長度。氣泡直徑越大,引起的速度波動越強烈,射流破裂長度比越小[24]。
圖12含表面活性劑射流的破裂長度比隨氣泡直徑的變化Fig.12Surfactant-laden jet breakup length ratiosversus bubble diameter
當氣泡被注入射流后,氣泡不僅會引起射流速度擾動,而且會產生新的氣液界面并吸附表面活性劑分子。氣泡表面對表面活性劑分子的吸附會降低表面活性劑濃度,減小射流內部與射流表面間的表面活性劑濃度梯度。因此,相對于不含氣泡射流,相同時刻含氣泡射流表面的表面活性劑表面吸附量較小,動態表面張力較大,射流破裂長度較小。動態表面張力的增大還會減小波谷和波峰間的表面張力梯度,從而削弱Marangoni效應,導致更小的射流破裂長度。因此,射流內部氣泡的存在會導致射流破裂長度的減小。
隨著氣泡直徑的增大,氣泡表面能夠吸附的表面活性劑分子增多,射流內部與射流表面的表面活性劑濃度梯度減小,相同時刻射流表面的表面活性劑表面吸附量減小,動態表面張力增大,射流破裂長度減小;同時,Marangoni效應也被削弱,射流破裂長度減小。因此,增大氣泡直徑會導致更小的射流破裂長度比。
如圖12所示,當氣泡直徑較大時,破裂長度比基本不隨射流速度的改變而改變。這是由于此時氣泡引起的射流速度擾動對射流破裂的影響占主導地位。在氣泡直徑較小時,當表面活性劑濃度c<1.00×10-2,不同射流速度下射流破裂長度比基本相同。當表面活性劑濃度c=1.00×10-2,破裂長度比隨著射流速度的增大而逐漸減小。這可能與被削弱的Marangoni效應有關。由式(10)可知,液體射流速度越大,液體對流造成的表面活性劑表面吸附量減少的趨勢越強,波峰波谷間的表面張力差值越小,Marangoni效應越弱,射流破裂長度增加的趨勢越弱。因此,在氣泡較小時,隨著射流速度的增大,含氣泡射流的破裂長度比逐漸減小。在表面活性劑濃度較小時,氣泡的存在進一步減小了射流內部表面活性劑的濃度,從而使得不同射流速度下Marangoni效應的差別不明顯,不同射流速度下射流破裂長度比基本相同。
實驗還得到了不同射流速度下,射流破裂長度比隨氣泡直徑的變化曲線,如圖13所示。從圖中可以看出,當射流速度相同時,不同濃度表面活性劑溶液的射流破裂長度比是接近的,且幾乎都小于同等條件下水的射流破裂長度比。這表明射流內部氣泡對含表面活性劑射流破裂過程的影響更為顯著。
圖13不同射流速度下的射流破裂長度比(圖中實線為水的含氣泡射流破裂曲線)Fig.13Surfactant-laden jet breakup length ratios at various jet velocities(solid line corresponds to curve of water jet breakup)
3、結論
本文研究了表面張力變化下,處于Rayleigh模式的液體射流破裂過程,揭示了射流內部氣泡對含表面活性劑射流破裂過程的影響,得到的主要結論如下。
(1)在液體射流速度保持不變時,隨著表面活性劑濃度的提高,液體表面張力逐漸減小,液體射流破裂長度逐漸增大。表面活性劑對射流破裂的影響主要通過動態表面張力及表面活性劑在射流表面的非均勻分布實現。表面活性劑的加入使得溶液動態表面張力隨著時間的推移逐漸減小,射流表面不穩定波增長率逐漸降低,表面波振幅發展到射流半徑所需時間延長,射流破裂長度增大。表面活性劑在射流表面的不均勻分布會引發Marangoni效應。液體在Marangoni應力的作用下向射流拉伸區運動,從而延緩了射流破裂的發生,增大了射流破裂長度。得出了液體射流破裂長度的表達式[式(16)],擬合結果與實驗測量結果吻合較好。
(2)實驗發現射流內部氣泡會顯著縮短含表面活性劑射流的破裂長度。射流內部氣泡的引入會導致射流速度的波動,從而縮短射流破裂長度。射流內部氣泡對表面活性劑分子的吸附會降低表面活性劑濃度,減小表面活性劑的表面吸附量,提高射流表面的動態表面張力,從而縮短了射流破裂長度。此外,射流內部氣泡導致的較大的動態表面張力還會減小Marangoni應力,削弱Marangoni效應,從而縮短了射流破裂長度。射流內部氣泡越大,射流破裂長度越小。與水的含氣泡射流相比,射流內部氣泡對含表面活性劑射流破裂過程的影響更為顯著。





